Официальное опубликование правовых актов
ОФИЦИАЛЬНОЕ ОПУБЛИКОВАНИЕ
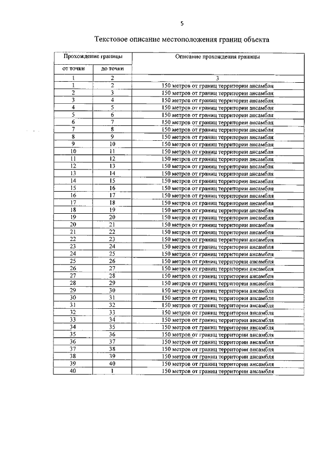
Приказ Департамента охраны объектов культурного наследия Ярославской области от 22.02.2022 № 23
"Об утверждении графического описания местоположения границ защитных зон объектов культурного наследия"
(Зарегистрирован 22.02.2022 № 36-12343)
Номер опубликования: 7601202202250004
Дата опубликования: 25.02.2022
Страница №7 из 47:
Увеличить