Официальное опубликование правовых актов
ОФИЦИАЛЬНОЕ ОПУБЛИКОВАНИЕ
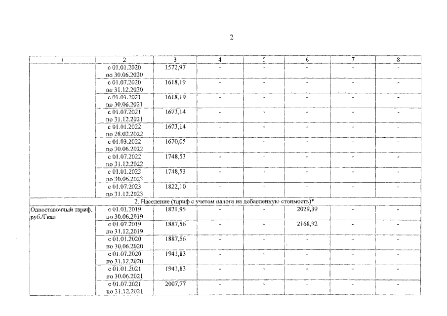
Приказ Департамента жилищно-коммунального хозяйства, энергетики и регулирования тарифов Ярославской области от 21.02.2022 № 12-ви
"О внесении изменений в приказ департамента жилищно-коммунального хозяйства, энергетики и регулирования тарифов Ярославской области от 20.12.2018 № 416-тэ"
(Зарегистрирован 21.02.2022 № 07-12340)
Номер опубликования: 7601202202250003
Дата опубликования: 25.02.2022
Страница №4 из 13:
Увеличить