Официальное опубликование правовых актов
ОФИЦИАЛЬНОЕ ОПУБЛИКОВАНИЕ
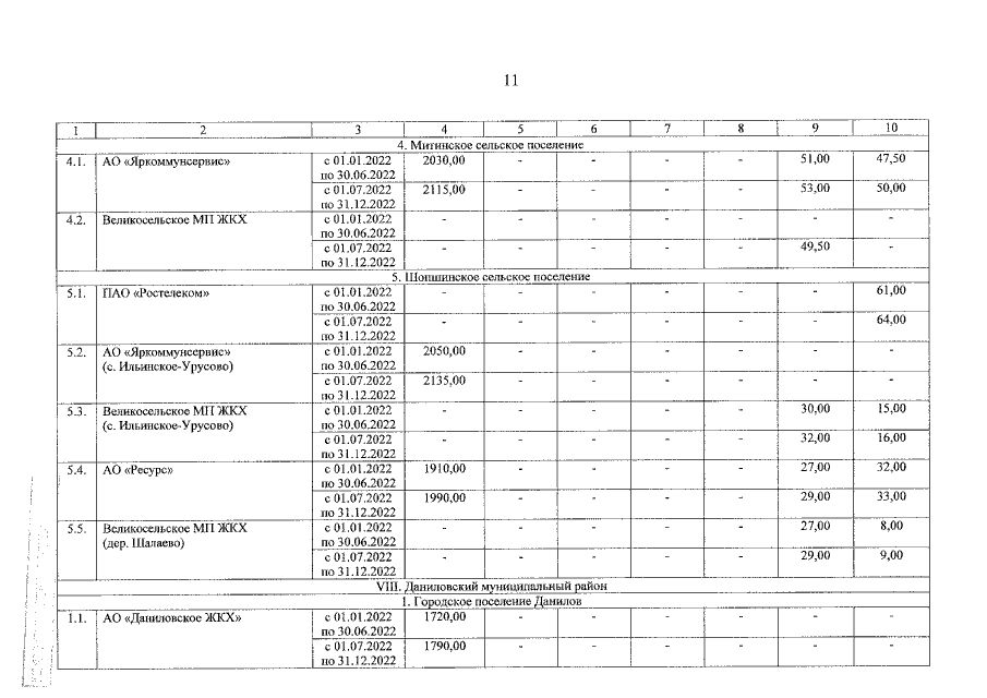
Приказ Департамента жилищно-коммунального хозяйства, энергетики и регулирования тарифов Ярославской области от 20.12.2021 № 440-лт
"Об установлении льготных тарифов на тепловую энергию, питьевую холодную воду, горячую воду и водоотведение на 2022 год"
(Зарегистрирован 20.12.2021 № 07-12181)
Номер опубликования: 7601202112290012
Дата опубликования: 29.12.2021
Страница №13 из 42:
Увеличить