Официальное опубликование правовых актов
ОФИЦИАЛЬНОЕ ОПУБЛИКОВАНИЕ
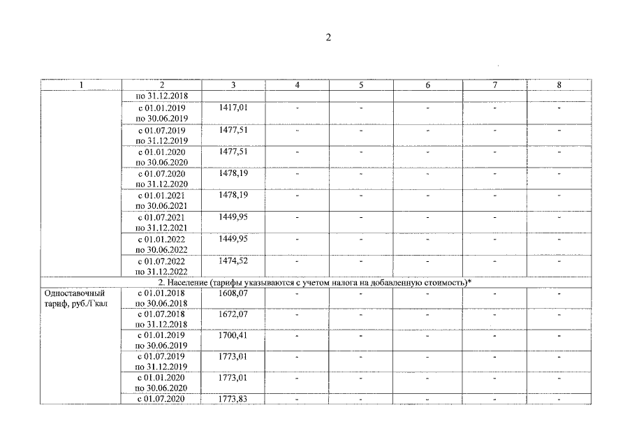
Приказ Департамента жилищно-коммунального хозяйства, энергетики и регулирования тарифов Ярославской области от 20.12.2021 № 305-ви
"О внесении изменения в приказ департамента жилищно-коммунального хозяйства, энергетики и регулирования тарифов Ярославской области от 19.12.2017 № 307-тэ"
(Зарегистрирован 20.12.2021 № 07-12077)
Номер опубликования: 7601202112210113
Дата опубликования: 21.12.2021
Страница №4 из 5:
Увеличить