Официальное опубликование правовых актов
ОФИЦИАЛЬНОЕ ОПУБЛИКОВАНИЕ
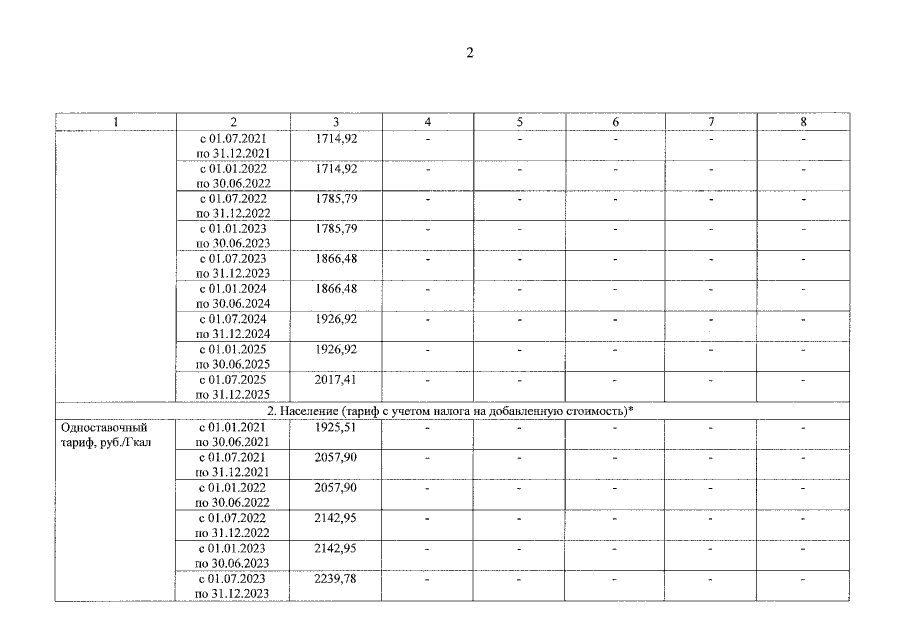
Приказ Департамента жилищно-коммунального хозяйства, энергетики и регулирования тарифов Ярославской области от 20.12.2021 № 321-ви
"О внесении изменений в приказ департамента жилищно-коммунального хозяйства, энергетики и регулирования тарифов Ярославской области от 17.12.2020 № 403-тэ"
(Зарегистрирован 20.12.2021 № 07-12086)
Номер опубликования: 7601202112210112
Дата опубликования: 21.12.2021
Страница №15 из 19:
Увеличить