Официальное опубликование правовых актов
ОФИЦИАЛЬНОЕ ОПУБЛИКОВАНИЕ
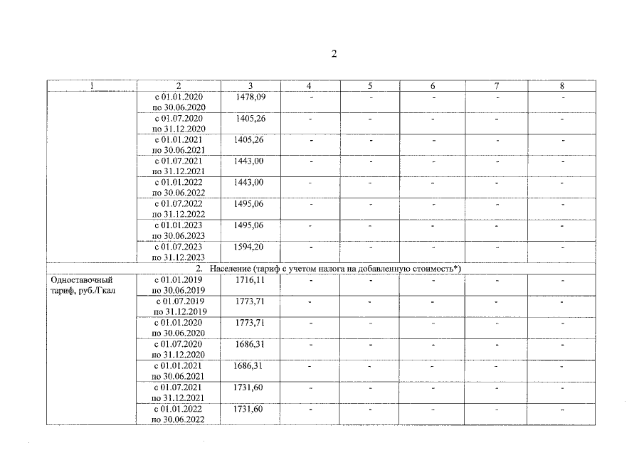
Приказ Департамента жилищно-коммунального хозяйства, энергетики и регулирования тарифов Ярославской области от 20.12.2021 № 236-ви
"О внесении изменений в приказ департамента жилищно-коммунального хозяйства, энергетики и регулирования тарифов Ярославской области от 19.12.2018 № 304-тэ"
(Зарегистрирован 20.12.2021 № 07-12057)
Номер опубликования: 7601202112210078
Дата опубликования: 21.12.2021
Страница №22 из 23:
Увеличить