Официальное опубликование правовых актов
ОФИЦИАЛЬНОЕ ОПУБЛИКОВАНИЕ
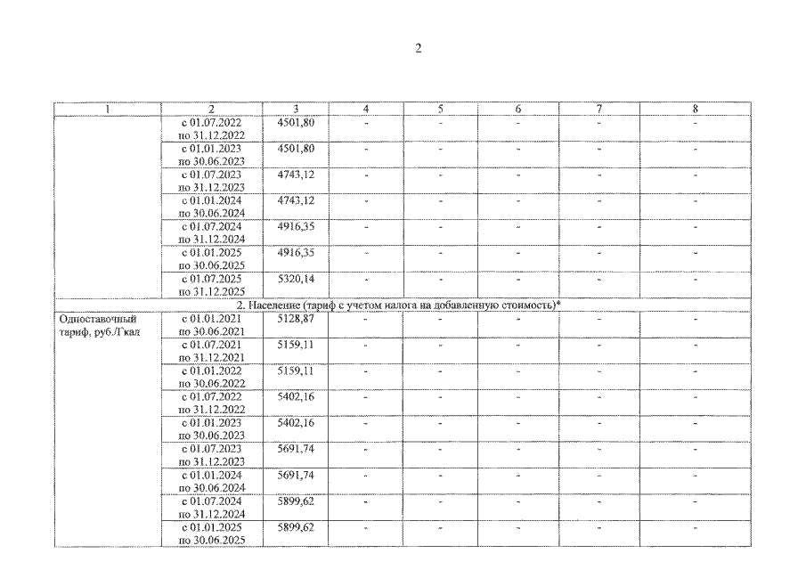
Приказ Департамента жилищно-коммунального хозяйства, энергетики и регулирования тарифов Ярославской области от 16.12.2021 № 209-ви
"О внесении изменения в приказ департамента жилищно-коммунального хозяйства, энергетики и регулирования тарифов Ярославской области от 17.12.2020 № 278-тэ"
(Зарегистрирован 17.12.2021 № 07-11944)
Номер опубликования: 7601202112210049
Дата опубликования: 21.12.2021
Страница №4 из 5:
Увеличить