Официальное опубликование правовых актов
ОФИЦИАЛЬНОЕ ОПУБЛИКОВАНИЕ
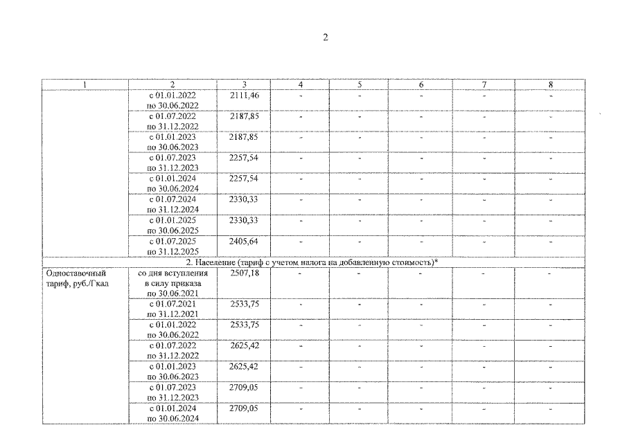
Приказ Департамента жилищно-коммунального хозяйства, энергетики и регулирования тарифов Ярославской области от 15.12.2021 № 184-ви
"О внесении изменения в приказ департамента жилищно-коммунального хозяйства, энергетики и регулирования тарифов Ярославской области от 11.06.2021 № 38-тэ"
(Зарегистрирован 16.12.2021 № 07-11917)
Номер опубликования: 7601202112200018
Дата опубликования: 20.12.2021
Страница №4 из 5:
Увеличить