Официальное опубликование правовых актов
ОФИЦИАЛЬНОЕ ОПУБЛИКОВАНИЕ
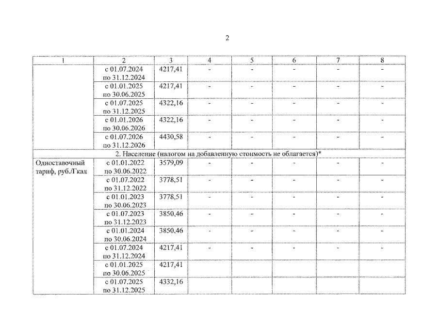
Приказ Департамента жилищно-коммунального хозяйства, энергетики и регулирования тарифов Ярославской области от 16.12.2021 № 192-тэ
"Об установлении тарифов на тепловую энергию, поставляемую потребителям муниципальным унитарным предприятием "Акватерм-Сервис" (Борисоглебский муниципальный район), на 2022 – 2026 годы"
(Зарегистрирован 16.12.2021 № 07-11925)
Номер опубликования: 7601202112200005
Дата опубликования: 20.12.2021
Страница №4 из 6:
Увеличить