Официальное опубликование правовых актов
ОФИЦИАЛЬНОЕ ОПУБЛИКОВАНИЕ
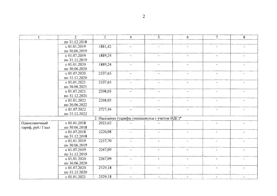
Приказ Департамента жилищно-коммунального хозяйства, энергетики и регулирования тарифов Ярославской области от 30.11.2021 № 135-ви
"О внесении изменения в приказ департамента жилищно-коммунального хозяйства, энергетики и регулирования тарифов Ярославской области от 18.12.2017 № 258-тэ"
(Зарегистрирован 30.11.2021 № 07-11839)
Номер опубликования: 7601202112060001
Дата опубликования: 06.12.2021
Страница №4 из 5:
Увеличить