Официальное опубликование правовых актов
ОФИЦИАЛЬНОЕ ОПУБЛИКОВАНИЕ
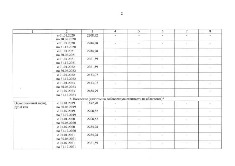
Приказ Департамента жилищно-коммунального хозяйства, энергетики и регулирования тарифов Ярославской области от 25.11.2021 № 125-ви
"О внесении изменения в приказ департамента жилищно-коммунального хозяйства, энергетики и регулирования тарифов Ярославской области от 28.11.2018 № 184-тэ"
(Зарегистрирован 25.11.2021 № 07-11821)
Номер опубликования: 7601202111300025
Дата опубликования: 30.11.2021
Страница №4 из 5:
Увеличить