Официальное опубликование правовых актов
ОФИЦИАЛЬНОЕ ОПУБЛИКОВАНИЕ
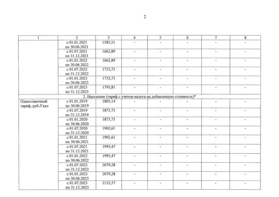
Приказ Департамента жилищно-коммунального хозяйства, энергетики и регулирования тарифов Ярославской области от 25.11.2021 № 115-ви
"О внесении изменения в приказ департамента жилищно-коммунального хозяйства, энергетики и регулирования тарифов Ярославской области от 20.12.2018 № 414-тэ"
(Зарегистрирован 25.11.2021 № 07-11811)
Номер опубликования: 7601202111300002
Дата опубликования: 30.11.2021
Страница №4 из 5:
Увеличить