Официальное опубликование правовых актов
ОФИЦИАЛЬНОЕ ОПУБЛИКОВАНИЕ
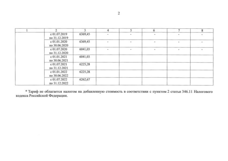
Приказ Департамента жилищно-коммунального хозяйства, энергетики и регулирования тарифов Ярославской области от 23.11.2021 № 103-ви
"О внесении изменения в приказ департамента жилищно-коммунального хозяйства, энергетики и регулирования тарифов Ярославской области от 18.12.2017 № 203-тэ"
(Зарегистрирован 23.11.2021 № 07-11792)
Номер опубликования: 7601202111260002
Дата опубликования: 26.11.2021
Страница №4 из 4:
Увеличить