Официальное опубликование правовых актов
ОФИЦИАЛЬНОЕ ОПУБЛИКОВАНИЕ
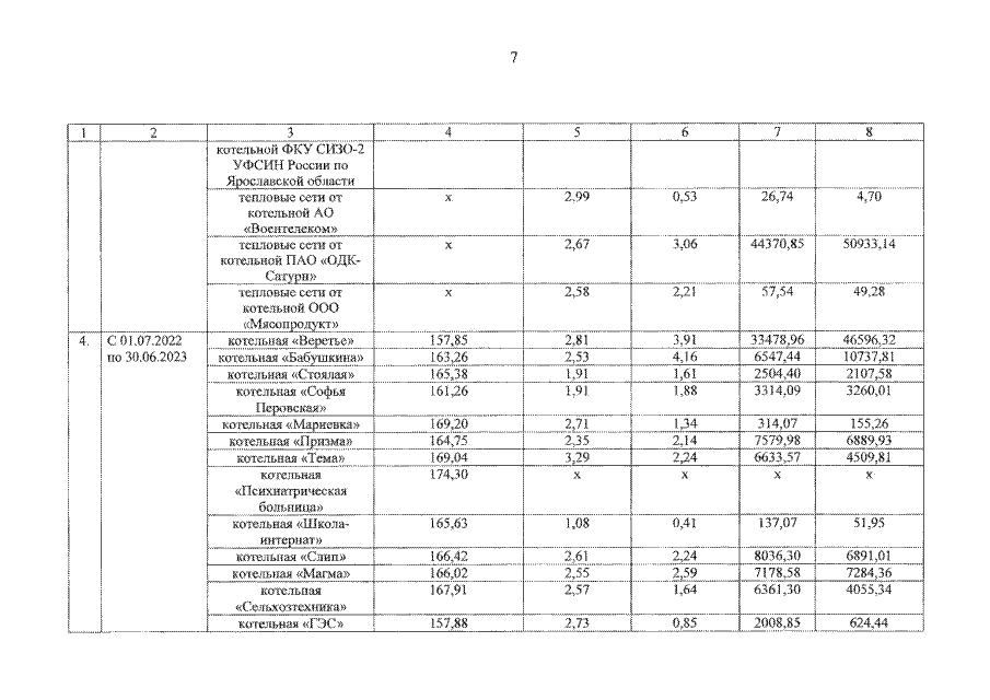
Приказ Департамента жилищно-коммунального хозяйства, энергетики и регулирования тарифов Ярославской области от 11.06.2021 № 39-ви
"О внесении изменений в приказ департамента жилищно-коммунального хозяйства, энергетики и регулирования тарифов Ярославской области от 01.11.2019 № 127-тэ"
(Зарегистрирован 15.06.2021 № 07- 11431)
Номер опубликования: 7601202106160004
Дата опубликования: 16.06.2021
Страница №12 из 16:
Увеличить