Официальное опубликование правовых актов
ОФИЦИАЛЬНОЕ ОПУБЛИКОВАНИЕ
Приказ Департамента охраны объектов культурного наследия Ярославской области от 18.05.2021 № 47
"О внесении изменений в приказы департамента охраны объектов культурного наследия Ярославской области от 05.10.2020 № 114, от 12.11.2020 № 133"
(Зарегистрирован 18.05.2021 № 36-11367)
Номер опубликования: 7601202105200003
Дата опубликования: 20.05.2021
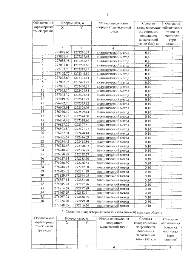
Страница №3 из 11:
Увеличить