Официальное опубликование правовых актов
ОФИЦИАЛЬНОЕ ОПУБЛИКОВАНИЕ
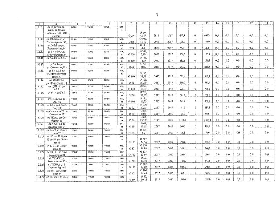
Приказ Департамента жилищно-коммунального хозяйства, энергетики и регулирования тарифов Ярославской области от 20.11.2020 № 84-ви
"Об утверждении изменений, вносимых в скорректированную инвестиционную программу акционерного общества "Тутаевская ПГУ"
(Зарегистрирован 25.01.2021 № 07- 11128)
Номер опубликования: 7601202101270005
Дата опубликования: 27.01.2021
Страница №5 из 11:
Увеличить