Официальное опубликование правовых актов
ОФИЦИАЛЬНОЕ ОПУБЛИКОВАНИЕ
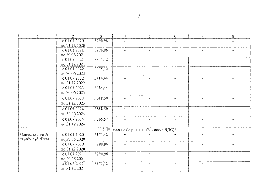
Приказ Департамента жилищно-коммунального хозяйства, энергетики и регулирования тарифов Ярославской области от 16.12.2020 № 192-ви
"О внесении изменений в приказ департамента жилищно-коммунального хозяйства, энергетики и регулирования тарифов Ярославской области от 16.12.2019 № 263-тэ"
(Зарегистрирован 17.12.2020 № 07- 10781)
Номер опубликования: 7601202012220008
Дата опубликования: 22.12.2020
Страница №6 из 7:
Увеличить