Официальное опубликование правовых актов
ОФИЦИАЛЬНОЕ ОПУБЛИКОВАНИЕ
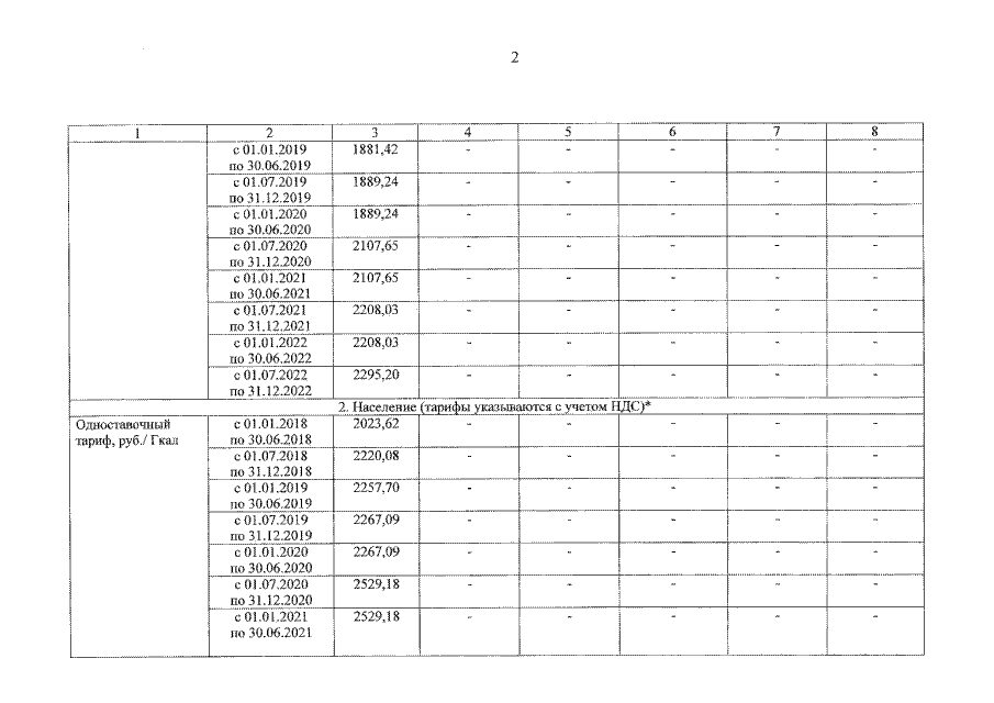
Приказ Департамента жилищно-коммунального хозяйства, энергетики и регулирования тарифов Ярославской области от 11.12.2020 № 177-ви
"О внесении изменений в приказ департамента жилищно-коммунального хозяйства, энергетики и регулирования тарифов Ярославской области от 18.12.2017 № 258-тэ"
(Зарегистрирован 17.12.2020 № 07- 10764)
Номер опубликования: 7601202012210007
Дата опубликования: 21.12.2020
Страница №4 из 5:
Увеличить