Официальное опубликование правовых актов
ОФИЦИАЛЬНОЕ ОПУБЛИКОВАНИЕ
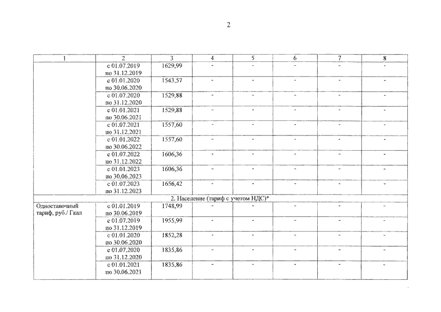
Приказ Департамента жилищно-коммунального хозяйства, энергетики и регулирования тарифов Ярославской области от 08.12.2020 № 156-ви
"О внесении изменения в приказ департамента жилищно-коммунального хозяйства, энергетики и регулирования тарифов Ярославской области от 20.12.2018 № 406-тэ"
(Зарегистрирован 10.12.2020 № 07- 10725)
Номер опубликования: 7601202012150008
Дата опубликования: 15.12.2020
Страница №4 из 5:
Увеличить