Официальное опубликование правовых актов
ОФИЦИАЛЬНОЕ ОПУБЛИКОВАНИЕ
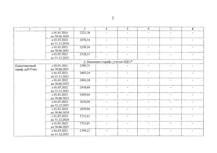
Приказ Департамента жилищно-коммунального хозяйства, энергетики и регулирования тарифов Ярославской области от 24.11.2020 № 98-тэ
"Об установлении тарифов на тепловую энергию, поставляемую потребителям обществом с ограниченной ответственностью "СК РЕЗЕРВ", на 2021 – 2025 годы"
(Зарегистрирован 03.12.2020 № 07- 10675)
Номер опубликования: 7601202012090008
Дата опубликования: 09.12.2020
Страница №4 из 6:
Увеличить