Официальное опубликование правовых актов
ОФИЦИАЛЬНОЕ ОПУБЛИКОВАНИЕ
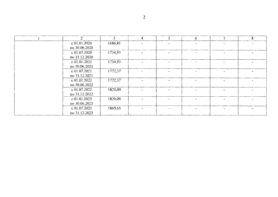
Приказ Департамента жилищно-коммунального хозяйства, энергетики и регулирования тарифов Ярославской области от 24.11.2020 № 93-ви
"О внесении изменения в приказ департамента жилищно-коммунального хозяйства, энергетики и регулирования тарифов Ярославской области от 17.12.2018 № 238-тэ"
(Зарегистрирован 25.11.2020 № 07- 10637)
Номер опубликования: 7601202011270017
Дата опубликования: 27.11.2020
Страница №4 из 4:
Увеличить