Официальное опубликование правовых актов
ОФИЦИАЛЬНОЕ ОПУБЛИКОВАНИЕ
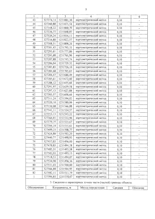
Приказ Департамента охраны объектов культурного наследия Ярославской области от 12.11.2020 № 133
"Об утверждении графического описания местоположения границ защитных зон объектов культурного наследия"
(Зарегистрирован 12.11.2020 № 36-10607)
Номер опубликования: 7601202011130004
Дата опубликования: 13.11.2020
Страница №26 из 76:
Увеличить