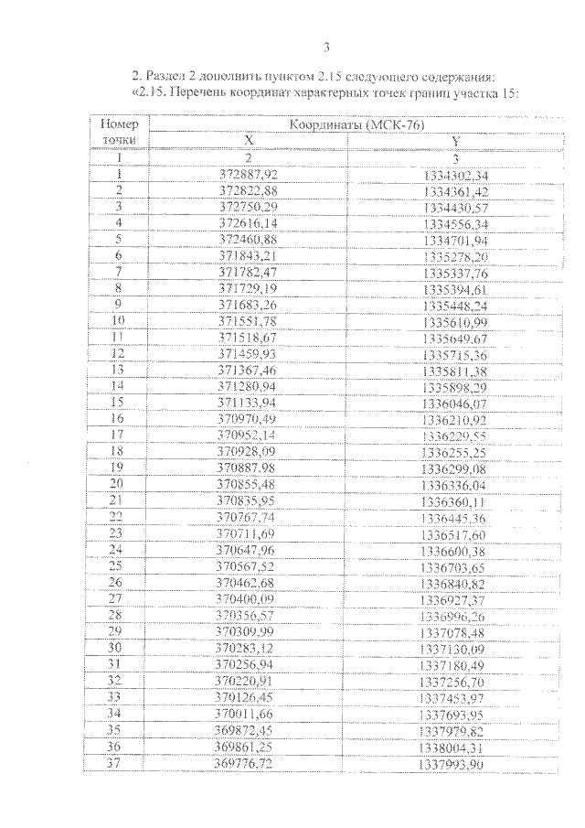
Приказ Департамента охраны окружающей среды и природопользования Ярославской области от 29.10.2020 № 36-н
"О внесении изменений в приказ департамента охраны окружающей среды и природопользования Ярославской области от 20.04.2018 № 25-н"
(Зарегистрирован 09.11.2020 № 13-10572)
"О внесении изменений в приказ департамента охраны окружающей среды и природопользования Ярославской области от 20.04.2018 № 25-н"
(Зарегистрирован 09.11.2020 № 13-10572)
Номер опубликования: 7601202011120016
Дата опубликования:
12.11.2020
