Официальное опубликование правовых актов
ОФИЦИАЛЬНОЕ ОПУБЛИКОВАНИЕ
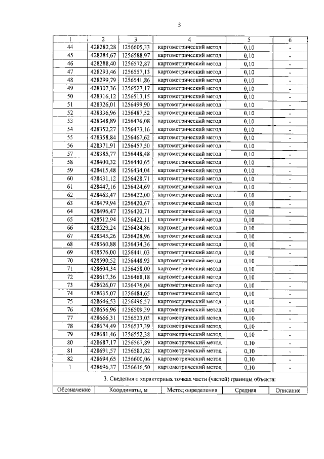
Приказ Департамента охраны объектов культурного наследия Ярославской области от 05.10.2020 № 117
"Об утверждении графического описания местоположения границ защитных зон объектов культурного наследия"
(Зарегистрирован 06.10.2020 № 36-10515)
Номер опубликования: 7601202010070004
Дата опубликования: 07.10.2020
Страница №81 из 118:
Увеличить