Официальное опубликование правовых актов
ОФИЦИАЛЬНОЕ ОПУБЛИКОВАНИЕ
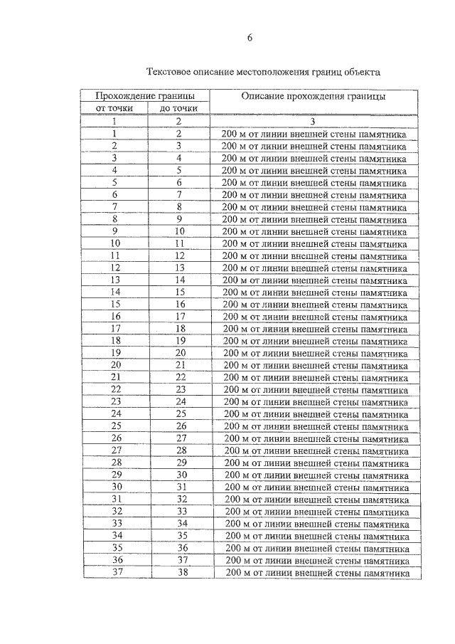
Приказ Департамента охраны объектов культурного наследия Ярославской области от 11.09.2020 № 102
"Об утверждении графического описания местоположения границ защитных зон объектов культурного наследия"
(Зарегистрирован 11.09.2020 № 36-10464)
Номер опубликования: 7601202009140002
Дата опубликования: 14.09.2020
Страница №78 из 122:
Увеличить