Официальное опубликование правовых актов
ОФИЦИАЛЬНОЕ ОПУБЛИКОВАНИЕ
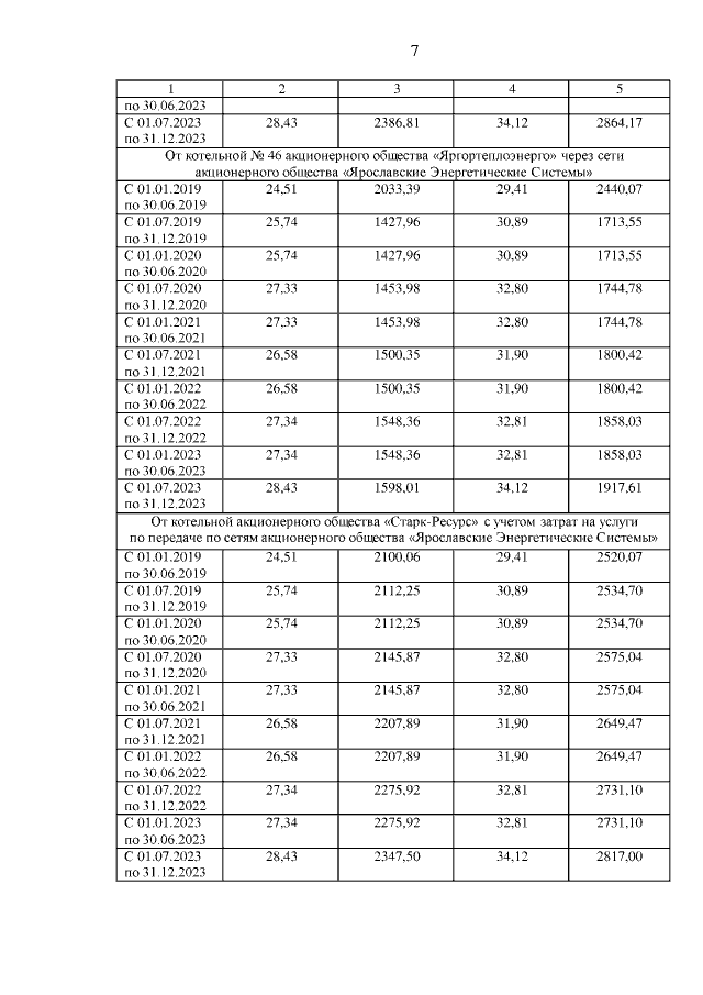
Приказ Департамента жилищно-коммунального хозяйства, энергетики и регулирования тарифов Ярославской области от 18.12.2019 № 286-ви
"О внесении изменений в приказ департамента жилищно-коммунального хозяйства, энергетики и регулирования тарифов Ярославской области от 20.12.2018 № 418-г/вс"
(Зарегистрирован 19.12.2019 № 07- 9709)
Номер опубликования: 7601201912270094
Дата опубликования: 27.12.2019
Страница №7 из 11:
Увеличить