Официальное опубликование правовых актов
ОФИЦИАЛЬНОЕ ОПУБЛИКОВАНИЕ
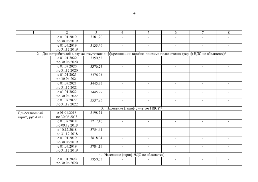
Приказ Департамента жилищно-коммунального хозяйства, энергетики и регулирования тарифов Ярославской области от 18.12.2019 № 281-ви
"О внесении изменения в приказ департамента жилищно-коммунального хозяйства, энергетики и регулирования тарифов Ярославской области от 08.12.2017 № 136-тэ"
(Зарегистрирован 19.12.2019 № 07-9704)
Номер опубликования: 7601201912250032
Дата опубликования: 25.12.2019
Страница №4 из 5:
Увеличить