Официальное опубликование правовых актов
ОФИЦИАЛЬНОЕ ОПУБЛИКОВАНИЕ
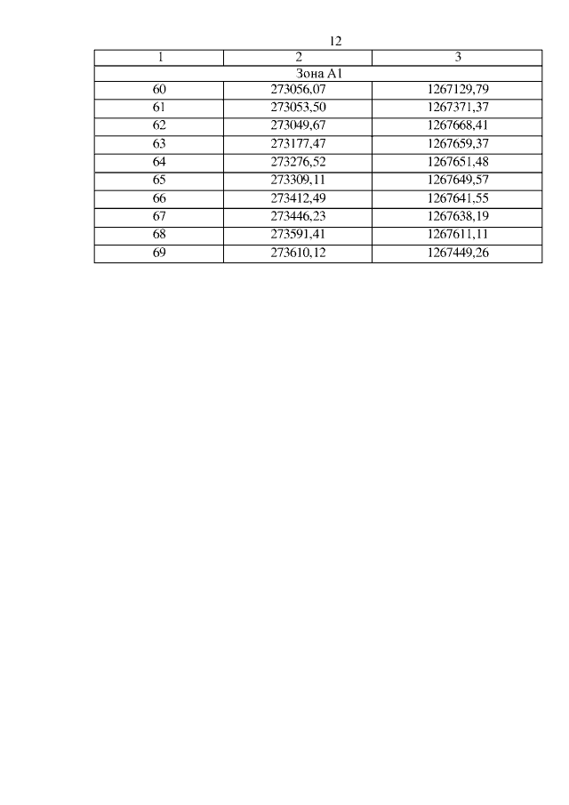
Приказ Департамента охраны объектов культурного наследия Ярославской области от 25.11.2019 № 98
"О включении выявленного объекта культурного наследия в единый государственный реестр объектов культурного наследия (памятников истории и культуры) народов Российской Федерации"
(Зарегистрирован 26.11.2019 № 36-9532)
Номер опубликования: 7601201911280007
Дата опубликования: 28.11.2019
Страница №12 из 13:
Увеличить