Официальное опубликование правовых актов
ОФИЦИАЛЬНОЕ ОПУБЛИКОВАНИЕ
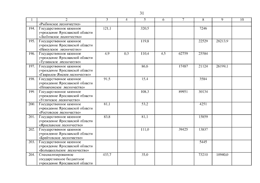
Приказ Департамента жилищно-коммунального хозяйства, энергетики и регулирования тарифов Ярославской области от 19.06.2019 № 240
"Об утверждении лимитов потребления энергетических ресурсов органами государственной власти Ярославской области, государственными учреждениями Ярославской области и государственными унитарными предприятиями Ярославской области на 2020 год"
(Зарегистрирован 24.06.2019 № 07-9185)
Номер опубликования: 7601201906250004
Дата опубликования: 25.06.2019
Страница №31 из 37:
Увеличить