Приказ Департамента жилищно-коммунального хозяйства, энергетики и регулирования тарифов Ярославской области от 15.10.2018 № 81-тэ
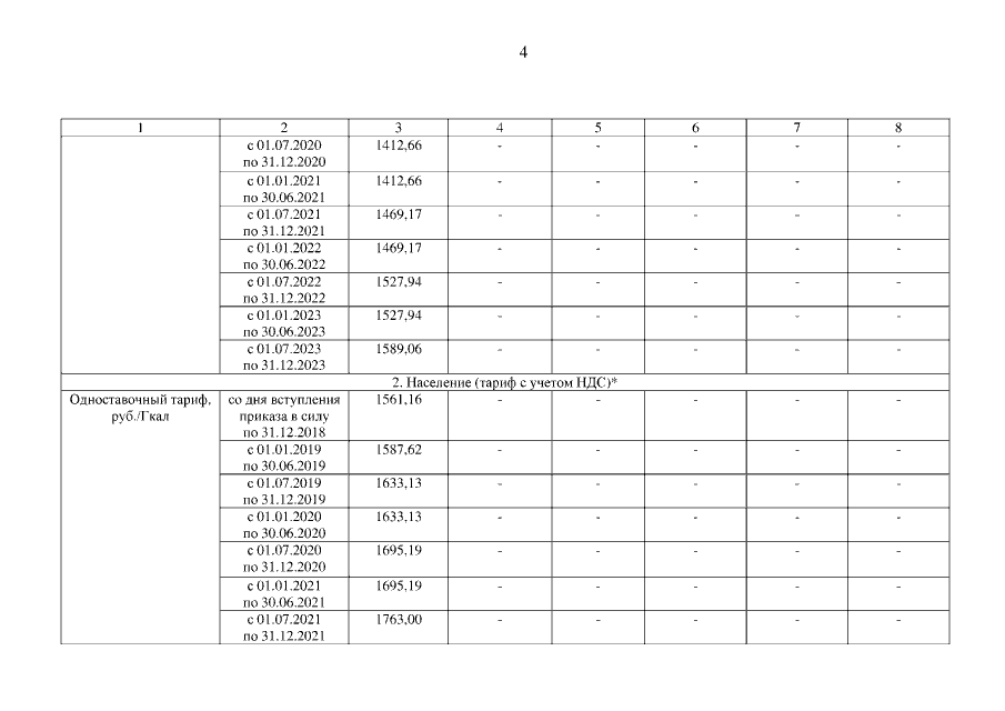
"Об установлении тарифов на тепловую энергию, поставляемую потребителям акционерным обществом "Желдорреммаш" (Ярославским электровозоремонтным заводом им. Б.П. Бещева – филиалом акционерного общества "Желдорреммаш"), на 2018 – 2023 годы"
(Зарегистрирован 16.10.2018 № 07-8241)
"Об установлении тарифов на тепловую энергию, поставляемую потребителям акционерным обществом "Желдорреммаш" (Ярославским электровозоремонтным заводом им. Б.П. Бещева – филиалом акционерного общества "Желдорреммаш"), на 2018 – 2023 годы"
(Зарегистрирован 16.10.2018 № 07-8241)
Номер опубликования: 7601201810220005
Дата опубликования:
22.10.2018
