Официальное опубликование правовых актов
ОФИЦИАЛЬНОЕ ОПУБЛИКОВАНИЕ
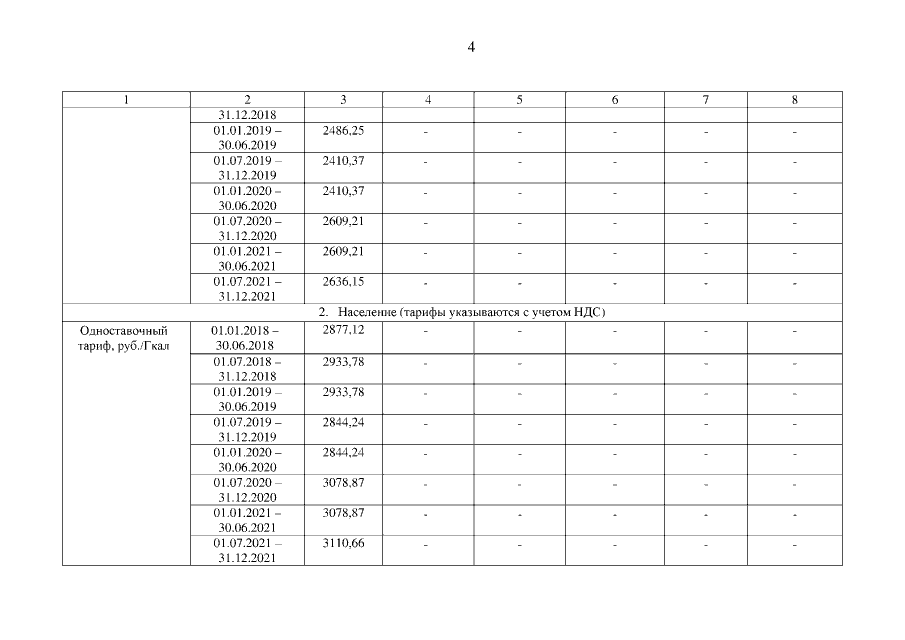
Приказ Департамента жилищно-коммунального хозяйства, энергетики и регулирования тарифов Ярославской области от 18.12.2017 № 190-ви
"О внесении изменений в приказ департамента энергетики и регулирования тарифов Ярославской области от 16.12.2016 № 326-тэ"
(Зарегистрирован 19.12.2017 № 07-7446)
Номер опубликования: 7601201712280021
Дата опубликования: 28.12.2017
Страница №4 из 4:
Увеличить