Официальное опубликование правовых актов
ОФИЦИАЛЬНОЕ ОПУБЛИКОВАНИЕ
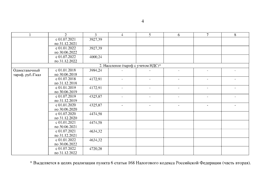
Приказ Департамента жилищно-коммунального хозяйства, энергетики и регулирования тарифов Ярославской области от 15.12.2017 № 161-тэ
"Об установлении тарифов на тепловую энергию, поставляемую потребителям муниципальным унитарным предприятием "Коммунальное хозяйство" (Брейтовский муниципальный район), на 2018 – 2022 годы"
(Зарегистрирован 18.12.2017 № 07-7416)
Номер опубликования: 7601201712220002
Дата опубликования: 22.12.2017
Страница №4 из 5:
Увеличить