Официальное опубликование правовых актов
ОФИЦИАЛЬНОЕ ОПУБЛИКОВАНИЕ
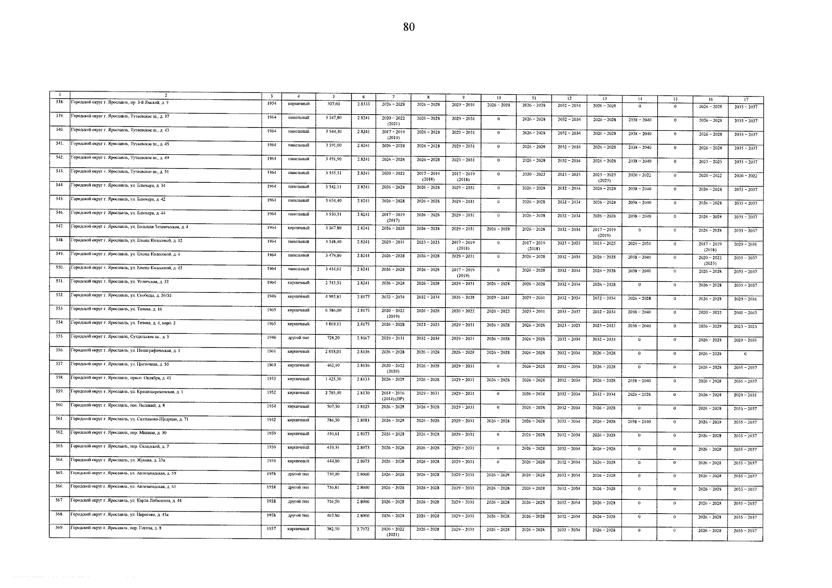
Постановление Правительства Ярославской области от 19.12.2025 № 1338-п
"О внесении изменений в постановление Правительства Ярославской области от 31.12.2013 № 1779-п"
Номер опубликования: 7600202512240001
Дата опубликования: 24.12.2025
Страница №81 из 325:
Увеличить