Официальное опубликование правовых актов
ОФИЦИАЛЬНОЕ ОПУБЛИКОВАНИЕ
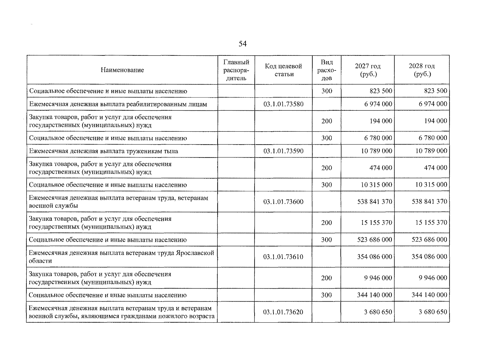
Закон Ярославской области от 19.12.2025 № 65-з
"Об областном бюджете на 2026 год и на плановый период 2027 и 2028 годов"
Номер опубликования: 7600202512220016
Дата опубликования: 22.12.2025
Страница №489 из 669:
Увеличить