Официальное опубликование правовых актов
ОФИЦИАЛЬНОЕ ОПУБЛИКОВАНИЕ
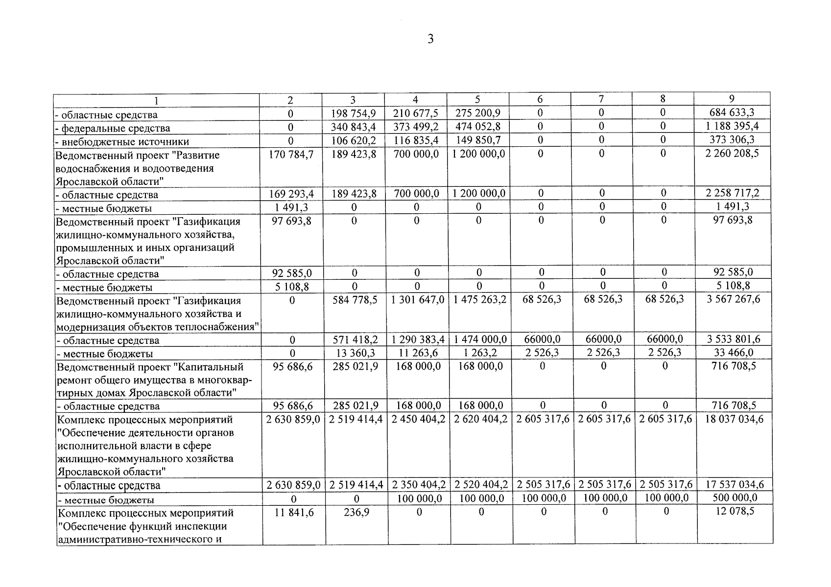
Постановление Правительства Ярославской области от 19.11.2025 № 1219-п
"О внесении изменений в постановление Правительства Ярославской области от 27.03.2024 № 389-п"
Номер опубликования: 7600202511250005
Дата опубликования: 25.11.2025
Страница №4 из 5:
Увеличить