Официальное опубликование правовых актов
ОФИЦИАЛЬНОЕ ОПУБЛИКОВАНИЕ
Постановление Правительства Ярославской области от 15.10.2025 № 1065-п
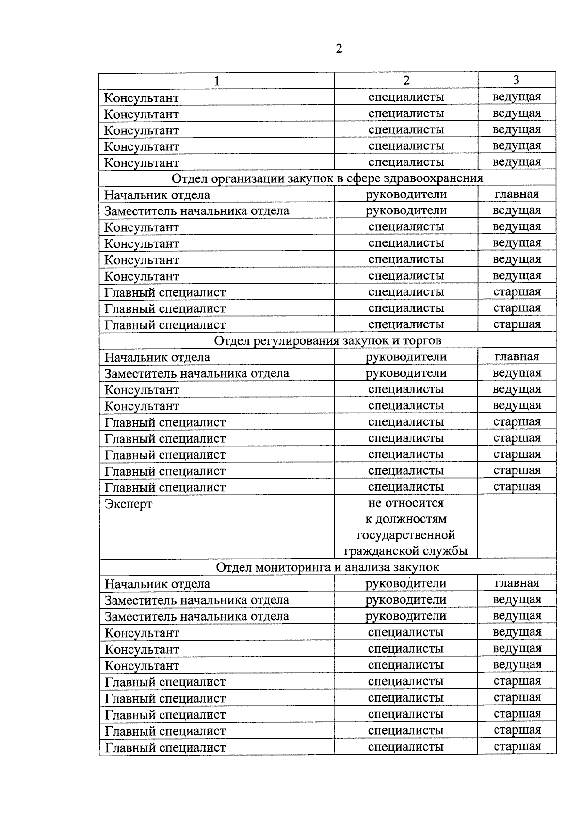
"Об утверждении организационно-штатной структуры и схемы министерства конкурентной политики Ярославской области и о внесении изменений в постановление Администрации Ярославской области от 23.12.2005 № 344"
Номер опубликования: 7600202510200001
Дата опубликования: 20.10.2025
Страница №3 из 4:
Увеличить