Официальное опубликование правовых актов
ОФИЦИАЛЬНОЕ ОПУБЛИКОВАНИЕ
Постановление Правительства Ярославской области от 25.08.2025 № 873-п
"О внесении изменений в постановление Правительства Ярославской области от 31.12.2013 № 1779-п"
Номер опубликования: 7600202508280007
Дата опубликования: 28.08.2025
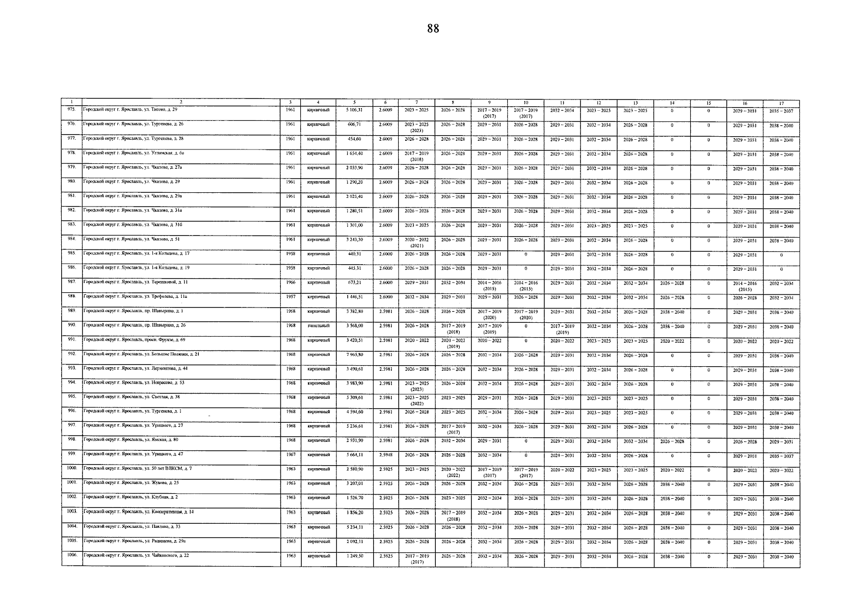
Страница №89 из 323:
Увеличить