Официальное опубликование правовых актов
ОФИЦИАЛЬНОЕ ОПУБЛИКОВАНИЕ
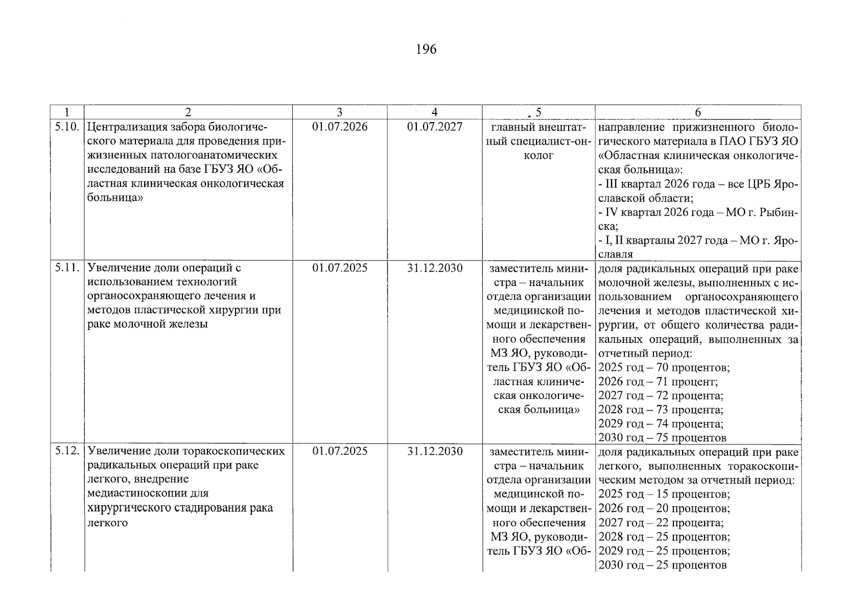
Постановление Правительства Ярославской области от 08.07.2025 № 691-п
"Об утверждении региональной программы "Борьба с онкологическими заболеваниями" на 2025 – 2030 годы"
Номер опубликования: 7600202507110004
Дата опубликования: 11.07.2025
Страница №197 из 230:
Увеличить