Официальное опубликование правовых актов
ОФИЦИАЛЬНОЕ ОПУБЛИКОВАНИЕ
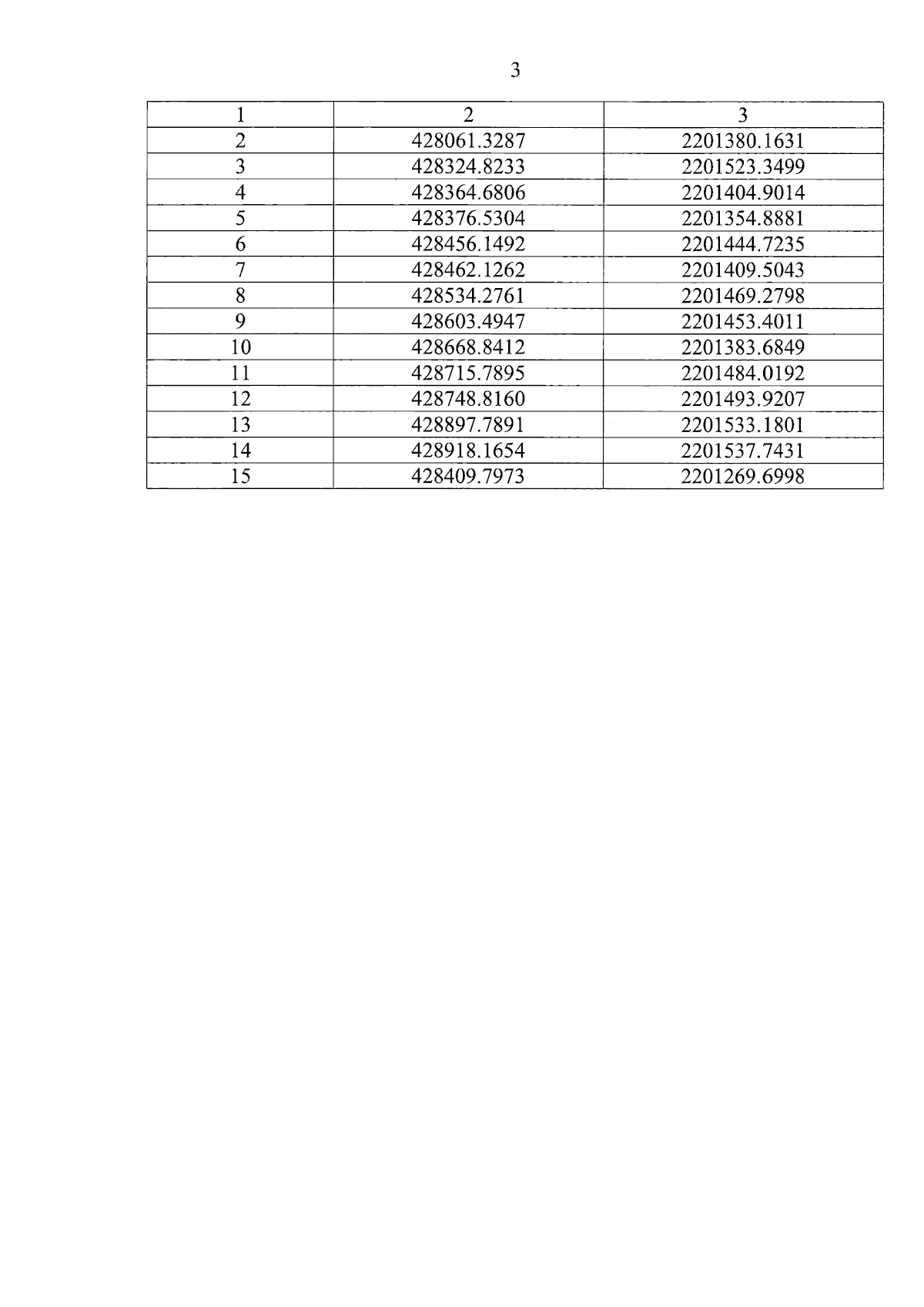
Постановление Правительства Ярославской области от 28.05.2025 № 534-п
"О включении населенного пункта в перечень исторических поселений, имеющих особое значение для истории и культуры Ярославской области, об утверждении границ территории, предмета охраны и требований к градостроительным регламентам в границах территории исторического поселения регионального значения с. Закобякино Любимского района Ярославской области"
Номер опубликования: 7600202505300003
Дата опубликования: 30.05.2025
Страница №24 из 48:
Увеличить