Официальное опубликование правовых актов
ОФИЦИАЛЬНОЕ ОПУБЛИКОВАНИЕ
Постановление Правительства Ярославской области от 28.05.2025 № 532-п
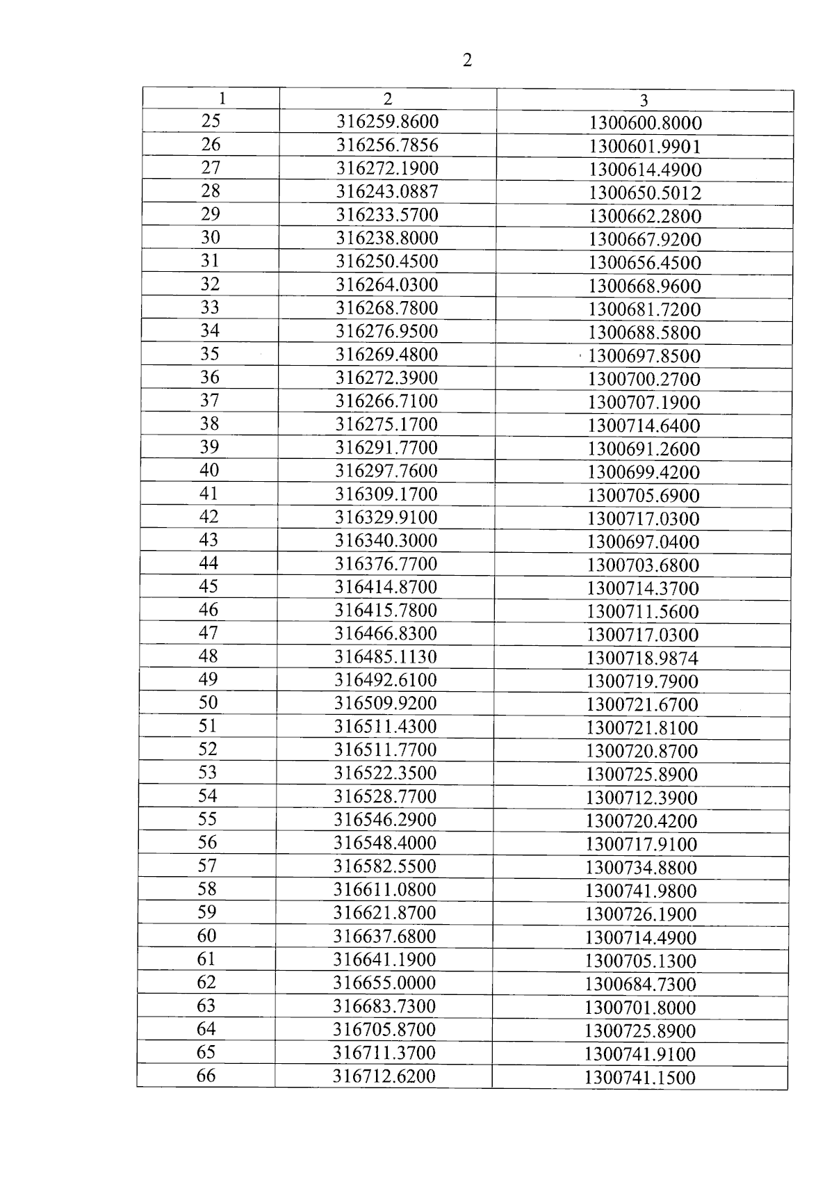
"О включении населенного пункта в перечень исторических поселений, имеющих особое значение для истории и культуры Ярославской области, об утверждении границ территории, предмета охраны и требований к градостроительным регламентам в границах территории исторического поселения регионального значения раб. пос. Поречье-Рыбное Ростовского района Ярославской области"
Номер опубликования: 7600202505290005
Дата опубликования: 29.05.2025
Страница №4 из 53:
Увеличить