Официальное опубликование правовых актов
ОФИЦИАЛЬНОЕ ОПУБЛИКОВАНИЕ
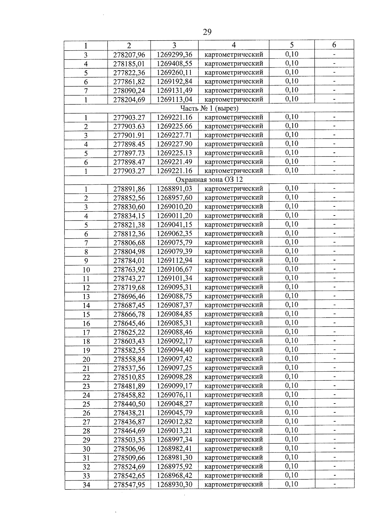
Постановление Правительства Ярославской области от 26.02.2025 № 181-п
"Об утверждении границ объединенной зоны охраны объектов культурного наследия (памятников истории и культуры) города Переславля-Залесского и прилегающих территорий ‒ м. Ботик, м. Симак, с. Веськово, с. Борисоглебская Слобода, с. Городище, с. Никитская Слобода, с. Троицкая Слобода, пос. Приозерного, режимов использования земель и требований к градостроительным регламентам в границах объединенной зоны"
Номер опубликования: 7600202502270008
Дата опубликования: 27.02.2025
Страница №32 из 468:
Увеличить