Официальное опубликование правовых актов
ОФИЦИАЛЬНОЕ ОПУБЛИКОВАНИЕ
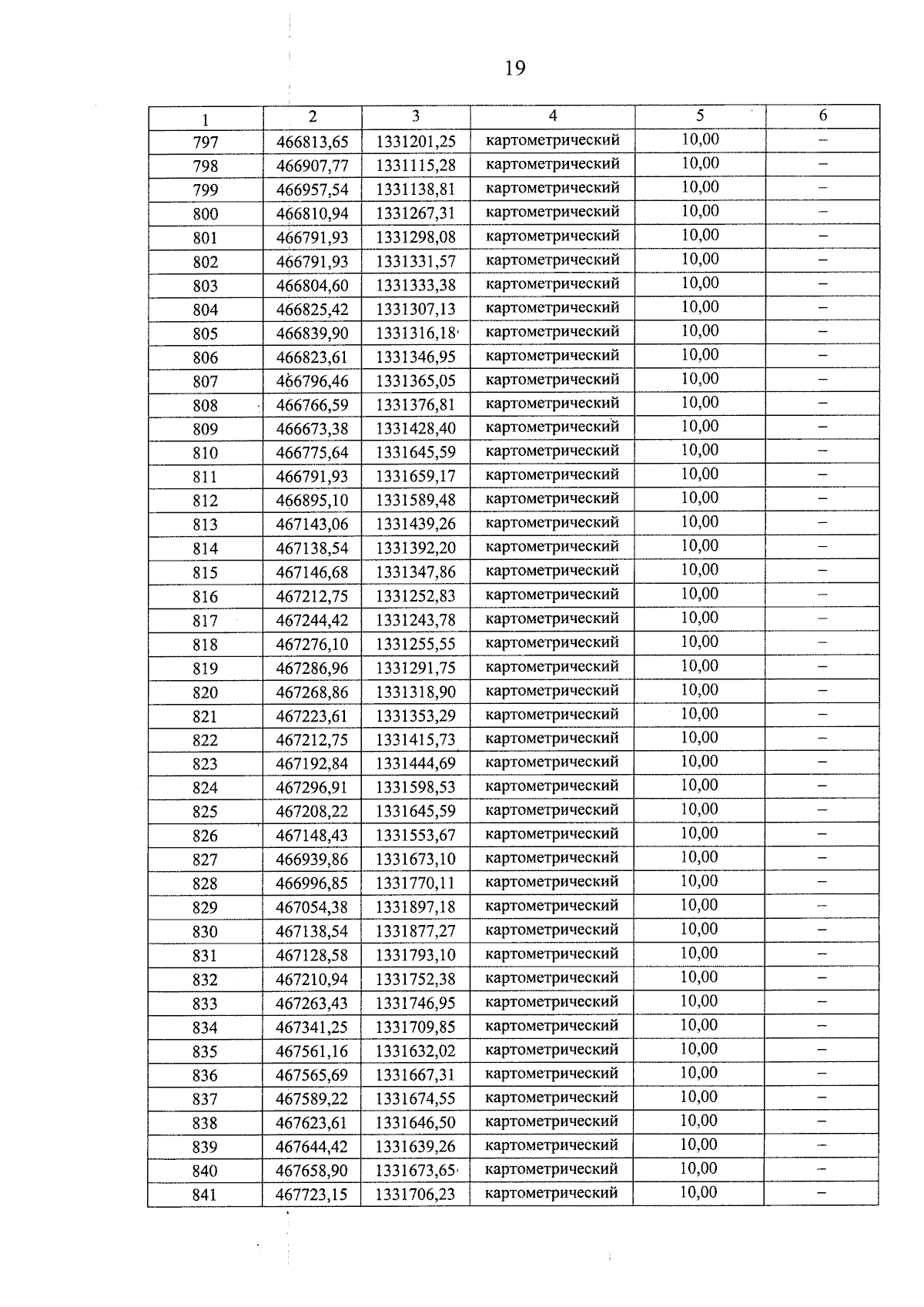
Постановление Правительства Ярославской области от 19.12.2024 № 1354-п
"О выделении зоны ограниченного хозяйственного использования, об утверждении Положения о государственном природном заказнике "Козский" и о внесении изменений в постановление Администрации Ярославской области от 15.12.2003 № 247 и постановление Правительства Ярославской области от 01.07.2010 № 460-п"
Номер опубликования: 7600202412200004
Дата опубликования: 20.12.2024
Страница №92 из 121:
Увеличить