Официальное опубликование правовых актов
ОФИЦИАЛЬНОЕ ОПУБЛИКОВАНИЕ
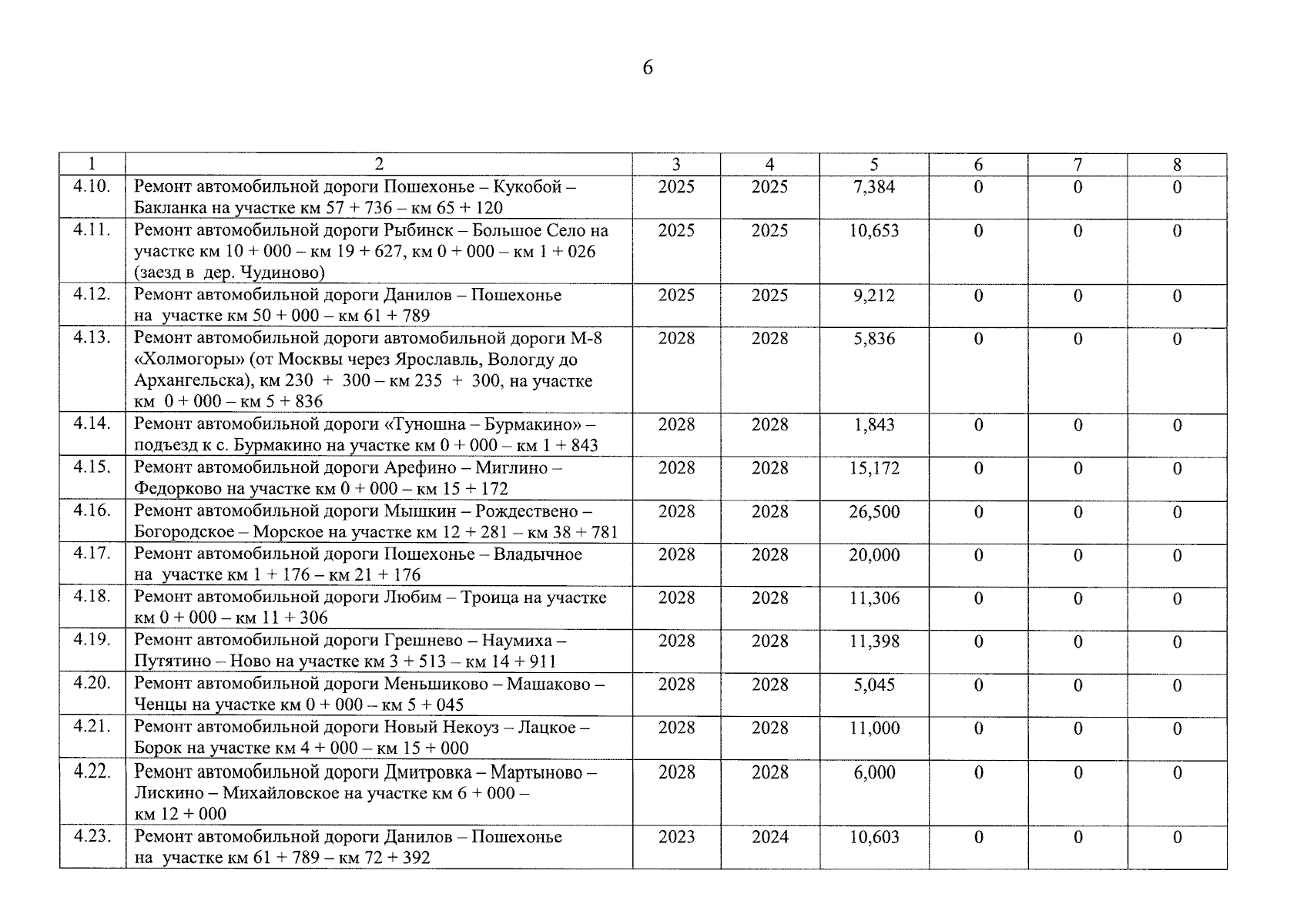
Постановление Правительства Ярославской области от 11.06.2024 № 651-п
"Об утверждении Программы работ на пятилетний период 2024 – 2028 годов в рамках дорожной деятельности Ярославской области"
Номер опубликования: 7600202406140001
Дата опубликования: 14.06.2024
Страница №7 из 29:
Увеличить