Официальное опубликование правовых актов
ОФИЦИАЛЬНОЕ ОПУБЛИКОВАНИЕ
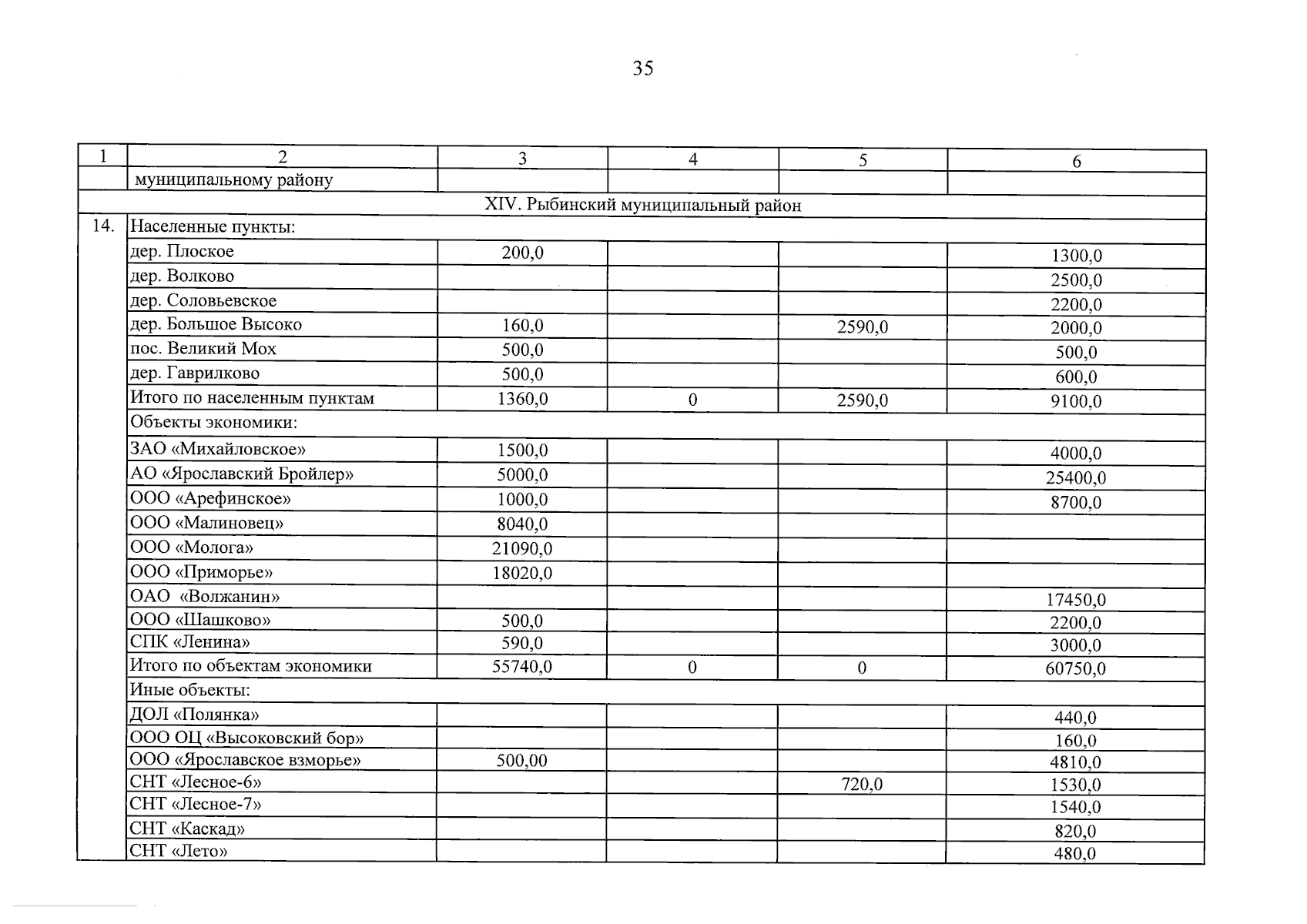
Указ Губернатора Ярославской области от 13.03.2024 № 59
"Об утверждении Сводного плана тушения лесных пожаров на территории Ярославской области на период пожароопасного сезона 2024 года"
Номер опубликования: 7600202403200003
Дата опубликования: 20.03.2024
Страница №36 из 128:
Увеличить