Постановление Правительства Ярославской области от 13.02.2024 № 145-п
"О резервировании земель для государственных нужд Ярославской области"
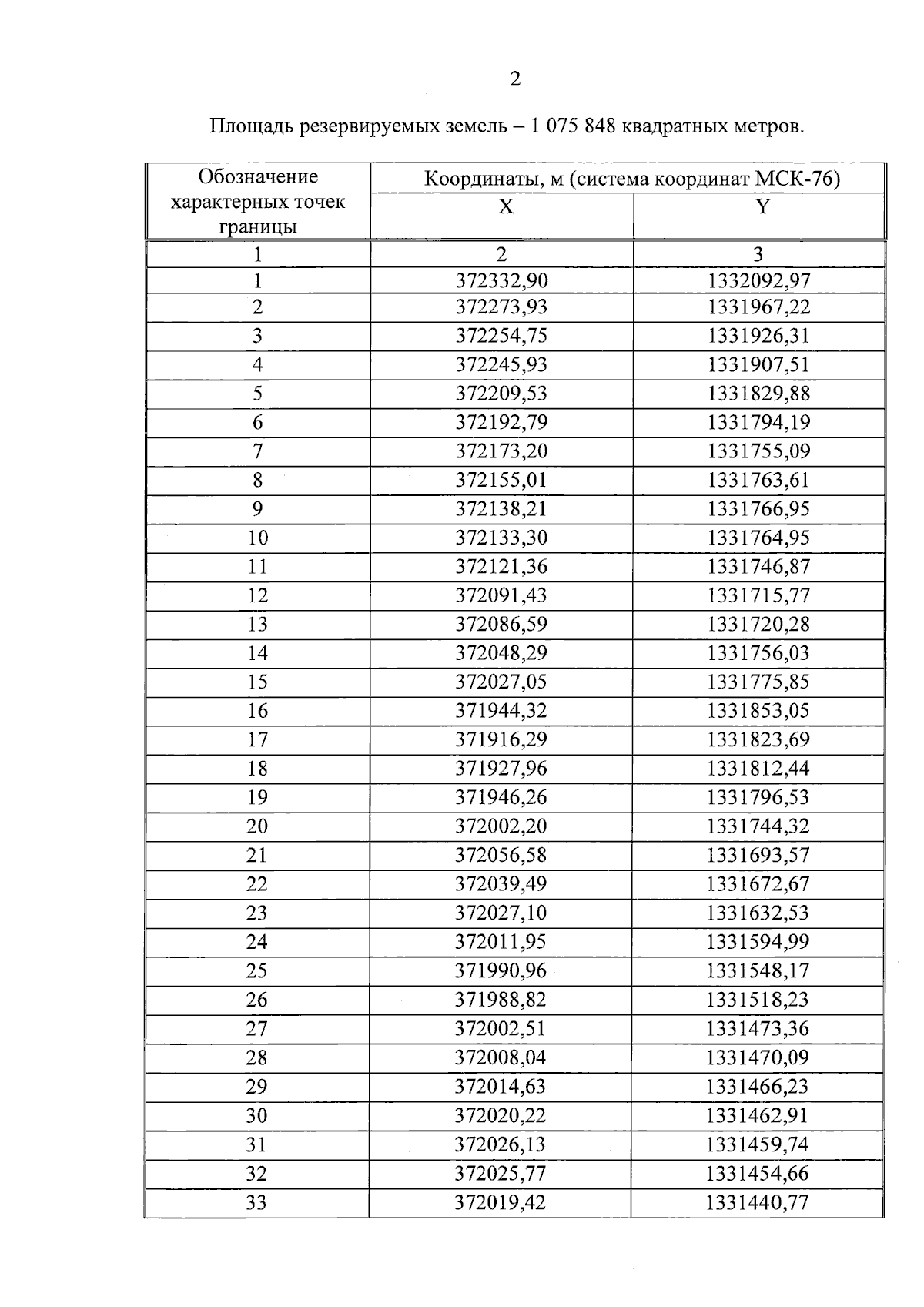
"О резервировании земель для государственных нужд Ярославской области"
Номер опубликования: 7600202402150009
Дата опубликования:
15.02.2024
