Официальное опубликование правовых актов
ОФИЦИАЛЬНОЕ ОПУБЛИКОВАНИЕ
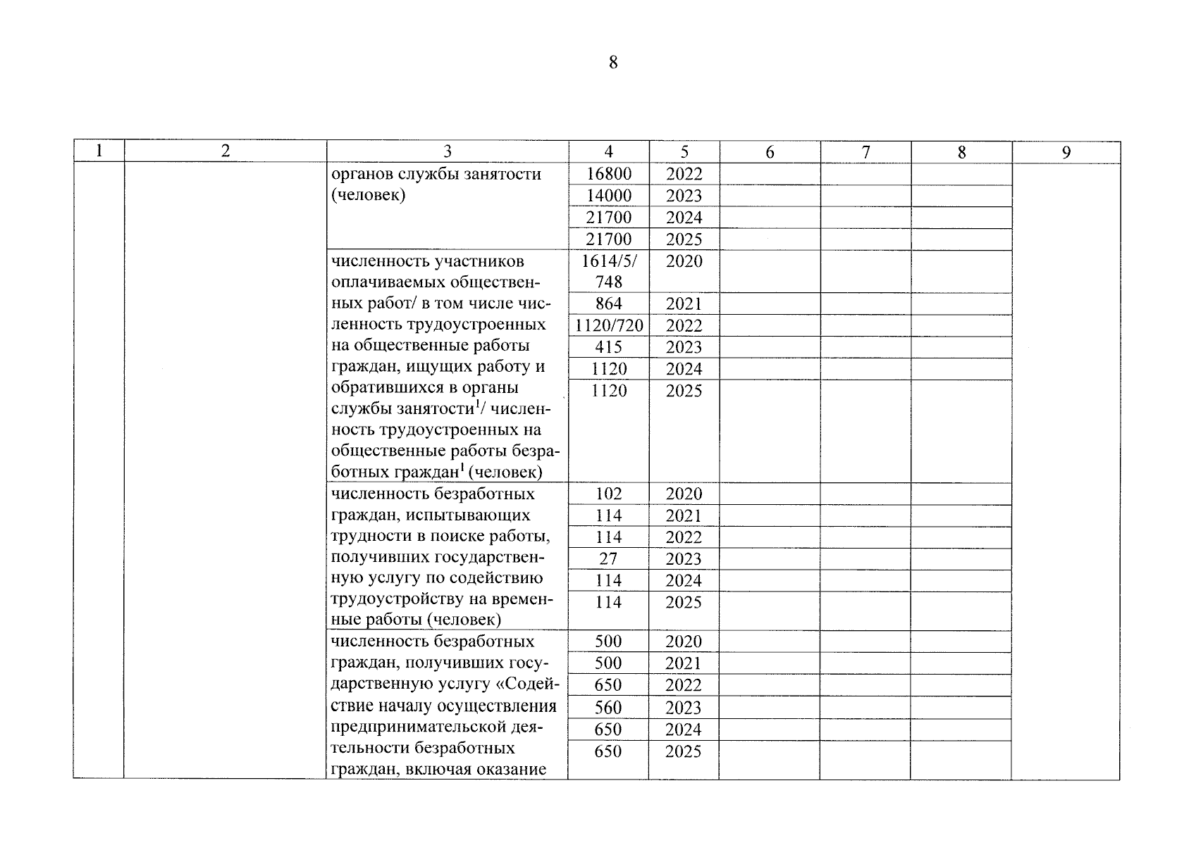
Постановление Правительства Ярославской области от 19.12.2023 № 1346-п
"О внесении изменений в постановление Правительства области от 30.01.2020 № 54-п"
Номер опубликования: 7600202312210003
Дата опубликования: 21.12.2023
Страница №9 из 24:
Увеличить