Официальное опубликование правовых актов
ОФИЦИАЛЬНОЕ ОПУБЛИКОВАНИЕ
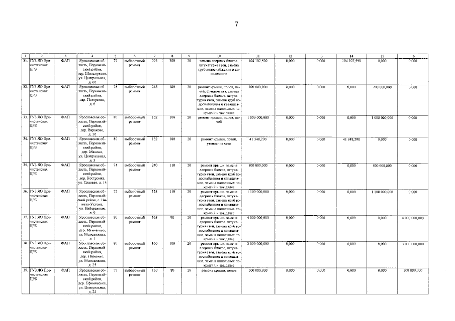
Постановление Правительства Ярославской области от 21.06.2023 № 594-п
"О внесении изменений в постановление Правительства области от 15.12.2020 № 966-п"
Номер опубликования: 7600202306230001
Дата опубликования: 23.06.2023
Страница №8 из 36:
Увеличить