Официальное опубликование правовых актов
ОФИЦИАЛЬНОЕ ОПУБЛИКОВАНИЕ
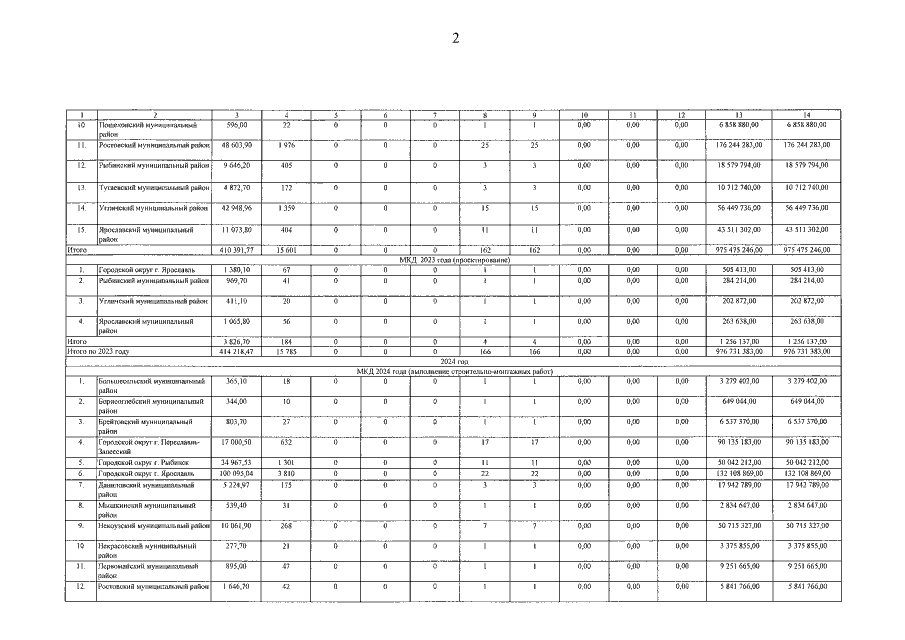
Постановление Правительства Ярославской области от 27.12.2022 № 1177-п
"Об утверждении регионального краткосрочного плана реализации региональной программы капитального ремонта общего имущества в многоквартирных домах Ярославской области на 2014 – 2043 годы на 2023 – 2025 годы и признании утратившими силу отдельных постановлений Правительства области"
Номер опубликования: 7600202212300014
Дата опубликования: 30.12.2022
Страница №27 из 29:
Увеличить