Официальное опубликование правовых актов
ОФИЦИАЛЬНОЕ ОПУБЛИКОВАНИЕ
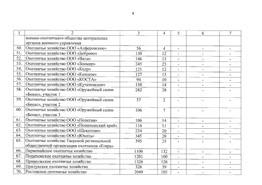
Указ Губернатора Ярославской области от 27.07.2022 № 183
"Об утверждении лимитов и квот добычи охотничьих ресурсов на территории Ярославской области и о признании утратившим силу указа Губернатора области от 28.07.2021 № 226"
Номер опубликования: 7600202207280003
Дата опубликования: 28.07.2022
Страница №7 из 16:
Увеличить