Официальное опубликование правовых актов
ОФИЦИАЛЬНОЕ ОПУБЛИКОВАНИЕ
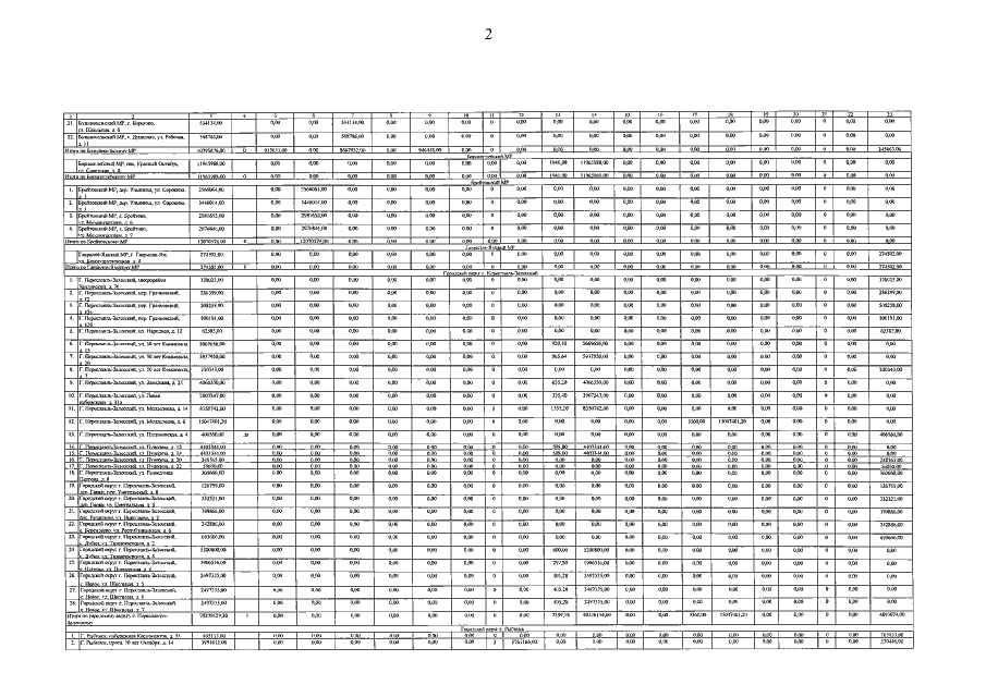
Постановление Правительства Ярославской области от 23.05.2022 № 398-п
"О внесении изменения в постановление Правительства области от 15.12.2021 № 894-п"
Номер опубликования: 7600202205250001
Дата опубликования: 25.05.2022
Страница №23 из 55:
Увеличить